Open access · 2024
A Novel Approach to Wave Energy Conversion Using CFD Technique
N. Abbas, M. Barbahan, Y. Kabrial, A. Kabrial
Polish Maritime Research · Vol. 31, Issue 3
- Method
- CFD
- Validation
- Experimental
- TRL
- 3 → 5
- Access
- Open
Pre-commercial · TRL 3→5
Från vetenskaplig teori och CFD-simulering — till verifiering i relevant miljö.
TRL
3 → 5
Source
Polish Maritime Research
Method
CFD · validated
Stage
Pre-commercial
Utgångsläget
Europa har en teknisk vågkraftspotential på över 100 GW. Ändå har få koncept tagit steget från simulering till verifierad tillämpning. Energi går förlorad i det som aldrig byggs.
100+GW
EU technical potential
<1GW
Deployed capacity
~99%
Untapped
Insikten
Ett nytt koncept — validerat mot experimentdata genom CFD-metodik — visar att rörelseenergin i marina vågor kan omvandlas effektivare än tidigare antaget.
Konceptet
ScandWave omvandlar vågrörelse till användbar energi genom ett mekaniskt och systembaserat förlopp, analyserat med Computational Fluid Dynamics.
Geometri optimerad mot verklig vågkaraktär via CFD-simulering.
Mekanisk kedja med fokus på lågt förlustmått och skalbarhet.
Modulär systemlogik från testbädd till full pilot.
Vetenskaplig grund
Open access · 2024
N. Abbas, M. Barbahan, Y. Kabrial, A. Kabrial
Polish Maritime Research · Vol. 31, Issue 3

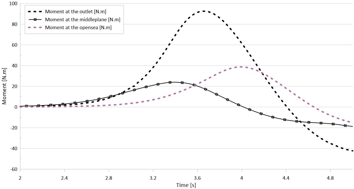
Fig. 1

Fig. 2

Fig. 3
Utvecklingsfas
Projektet strukturerat i fem utvecklingssteg. Nuläge: steg 1–2.
Sammanställning och granskning av befintligt forskningsunderlag, simuleringar och designantaganden.
Val av testnivå, dimensionering och praktisk avgränsning för prototyp eller testbädd.
Tekniska specifikationer, komponentbehov, testlogik och byggbarhetsbedömning.
Etablering av prototyp/testmiljö och genomförande av de första praktiska testerna.
Utvärdering, dokumentation av lärdomar och beslut om pilot eller uppskalning.
Konsortium
ScandWave Energy AB initierar och driver projektet tillsammans med en industriell medsökande partner, projekt- och ansökningsstöd via Adect, samt relevanta test- och kunskapsaktörer i senare steg.
Research notes
Dialog
Vi välkomnar samtal med industriella partners, offentliga finansiärer och forskningsaktörer.
Projektledning & partnerskap
Sargon Orahim
sargon@orahim.ioSkriv ett mail
Verkställande direktör
Jakob Kabrial
+46 70 497 15 76